Steel Glossary
Daido DRM3
| C | Si | Mn | Cr | Mo | W | V | |
|---|---|---|---|---|---|---|---|
| Typical analysis wt-% | 0.8 | 0.7 | 0.3 | 5.4 | 4.5 | 1.0 | 1.2 |
| Treatment temperatures | hardness | ||||
|---|---|---|---|---|---|
| Hot forming | Annealing | Hardening | Tempering | Annealed | working hardness |
| (please inquire) | 800 - 880°C slow cooling (≤ 20/°C/min) |
1,100 - 1,140°C Cooling in oil, gas or salt bath |
550 - 620°C min. 2x tempering, air cooling |
≤ 235 HB | 62 - 66 HRC |
| Physical properties | ||||||||
|---|---|---|---|---|---|---|---|---|
| Thermal expansion coefficient [10-6/K] | 20 - 100°C | 20 - 200°C | 20 - 300°C | 20 - 400°C | 20 - 500°C | 20 - 600°C | ||
| 11.1 | 11.5 | 11.9 | 12.2 | 12.4 | 12.7 | |||
| Thermal conductivity [W/mK] | 25°C | 200°C | 300°C | 400°C | 500°C | 600°C | ||
| 18 | 21.5 | 23.1 | 24.4 | 25.2 | 26.0 | |||
| specific heat [J/kgK] | 25°C | 200°C | 300°C | 400°C | 500°C | 600°C | ||
| 424 | 480 | 520 | 560 | 698 | 830 | |||
Young's modulus = 210 GPa, sample hardened at 1,140°C, 2x tempered at 560°C
Microstructure
DRM3
(in the center of the bar ∅ 100 mm)
Conventional high-speed steel
(Daido)
Tempering treatment
Specimen: square 15 mm, oil quenching, tempering with air cooling
Impact toughness
Specimens: taken from bar steel, in the center of ∅ 100 mm, U-notched specimen
| Heat treatment | ||
|---|---|---|
| Hardening | Tempering | |
| DRM3 | 1,140°C, oil hardened | 540 - 600°C, double tempered |
| 1.3343 | 1,210°C, oil hardened | 540 - 600°C, double tempered |
Hardness at elevated temperatures
| Heat treatment | ||
|---|---|---|
| Hardening | Tempering | |
| DRM3 | 1,140°C, oil hardened | 560°C, double tempered |
| 1.3343 | 1,200°C, oil hardened | 580°C, double tempered |
Fire crack resistance
Specimen: ∅ 15 mm, 10 mm thick
| Heat treatment | ||
|---|---|---|
| Hardening | Tempering | |
| DRM3 | 1,120°C, oil hardened | 560 - 620°C, double tempered |
| 1.3343 | 1,200°C, oil hardened | 560°C, double tempered |
| Test method | Heat inductively 1,000x to 600°C and cool to 20°C | |
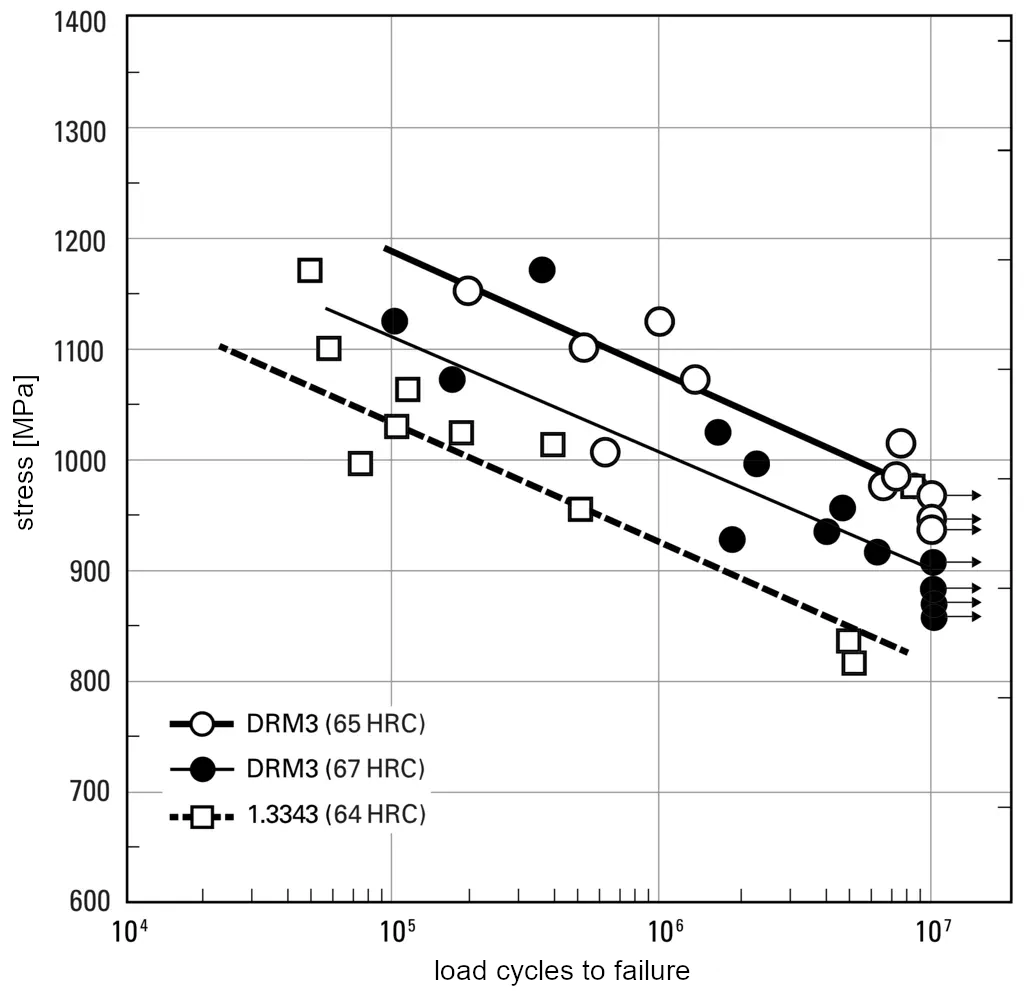
Fatigue strength / Material fatigue
Specimens: from the center of a bar steel ∅ 100 mm
| Heat treatment | ||
|---|---|---|
| Hardening | Tempering | |
| DRM3 (65 HRC) | 1,100°C, oil hardened | 560°C, double tempered |
| DRM3 (67 HRC) | 1,140°C, oil hardened | 550°C, double tempered |
| 1.3343 | 1,140°C, oil hardened | 560°C, double tempered |
| Test method | Wöhler test at room temperature | |
Dimensional change during hardening
Specimens: bar steel ∅ 100 mm x 60 mm length
| Heat treatment | |
|---|---|
| Hardening | |
| DRM3 | 1,140°C, hardened in salt bath |
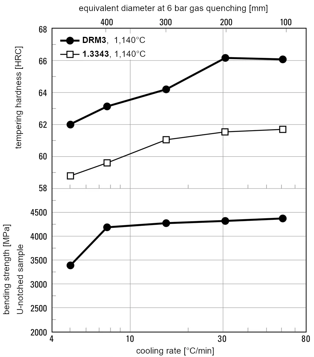
Hardenability
Influence of cooling rate on toughness
Continuous cooling transformation (CCT) diagram
Hardening process
Salt bath
Vacuum
Transformation temperatures:
AC1 = 830°C, Ms = 175°C
The hardening temperature of DRM3 is 1,100 – 1,140°C
| Salt bath | Vacuum | |
|---|---|---|
| Thickness [mm] | Soaking times [min] | Soaking times [min] |
| to 12 | 8 - 10 | 20 - 30 per 25 mm of thickness |
| to 25 | 10 - 15 | |
| to 36 | 15 - 20 | |
| to 50 | 20 - 25 | |
| to 100 | 30 - 40 | 10 - 20 per 25 mm of thickness |
| above 100 | 30 - 40 |
Nitriding
Example of the microstructure of a nitrided surface after the PS process from Daido Amistar.
Hardness profile after nitriding
The surface hardness reaches 1,280 HV with NHD = 0.2 mm.
The values given are always representative technical values based on our investigations. Unless otherwise stated, they do not constitute guarantees. Please consult us for individual cases.
Attention please!
Some features of our webshop are not supported by your current browser version.
We recommend updating your browser or using a different browser.
